Israele-Hamas, ecco il testo dell'intesa su prima fase piano Trump per fine guerra a Gaza - Il documento

Il testo in sei punti, più gli allegati, sull'accordo siglato da Israele, Hamas e i mediatori

Gaza (Afp)
Gaza (Afp)
10 ottobre 2025 | 17.21
LETTURA: 3 minuti

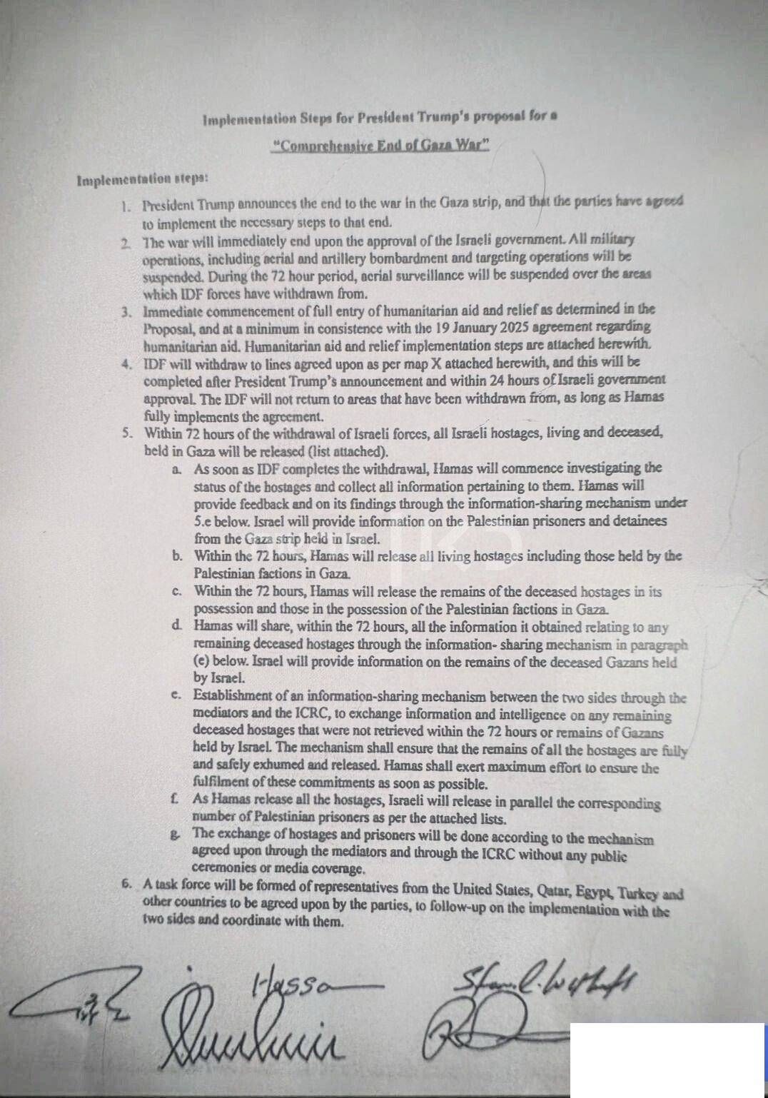
"Misure per l'attuazione della proposta del presidente Trump per la fine totale della guerra a Gaza". Si intitola così il testo in sei punti, più gli allegati, dell'intesa firmata ieri da Israele, Hamas e i mediatori sulla prima fase del piano del presidente americano per il cessate il fuoco e il rilascio degli ostaggi. Ecco il testo del documento:

CTA

1) Il presidente Trump annuncia la fine della guerra nella Striscia di Gaza e che le parti hanno concordato di attuare le misure necessarie a tal fine.

2) La guerra terminerà immediatamente dopo l'approvazione del governo israeliano. Tutte le operazioni militari, compresi i bombardamenti aerei e di artiglieria e le operazioni di targeting, saranno sospese. Durante il periodo di 72 ore, la sorveglianza aerea sarà sospesa sulle zone da cui le forze dell'Idf si sono ritirate.

3) Inizio immediato dell'ingresso completo degli aiuti umanitari e dei soccorsi, come stabilito nella proposta e, come minimo, in conformità con l'accordo del 19 gennaio 2025 relativo agli aiuti umanitari. Le misure di attuazione degli aiuti umanitari e dei soccorsi sono allegate al presente documento.

testo intesa

4) Le Idf si ritireranno dalle 10 linee concordate come da mappa allegata al presente documento, e questo avverrà dopo l'annuncio del presidente Trump ed entro 24 ore dall'approvazione del governo israeliano. Le Idf non torneranno nelle aree da cui si è ritirata, a condizione che Hamas attui pienamente l'accordo.

5) Entro 72 ore dal ritiro delle forze israeliane, tutti gli ostaggi israeliani, vivi e deceduti, detenuti a Gaza saranno rilasciati (elenco allegato).

a. Non appena le Idf avranno completato il ritiro, Hamas inizierà a indagare sulla situazione degli ostaggi e a raccogliere tutte le informazioni che li riguardano. Hamas fornirà un riscontro e comunicherà i risultati delle sue indagini attraverso il meccanismo di condivisione delle informazioni di cui al punto seguente. Israele fornirà informazioni sui prigionieri e sui detenuti palestinesi della Striscia di Gaza detenuti in Israele.

b. Entro 72 ore, Hamas rilascerà tutti gli ostaggi vivi, compresi quelli detenuti dalle fazioni palestinesi a Gaza.

c. Entro 72 ore, Hamas rilascerà i resti degli ostaggi deceduti in suo possesso e quelli in possesso delle fazioni palestinesi a Gaza.

d. Hamas condividerà, entro 72 ore, tutte le informazioni ottenute relative agli ostaggi deceduti rimanenti attraverso il meccanismo di condivisione delle informazioni di cui al paragrafo (e) di seguito. Israele fornirà informazioni sui resti dei cittadini di Gaza deceduti detenuti da Israele.

e. Istituzione di un meccanismo di condivisione delle informazioni tra le due parti attraverso i mediatori e il Comitato internazionale della Croce rossa, per scambiare informazioni e intelligence su eventuali ostaggi deceduti rimasti che non sono stati recuperati entro le 72 ore o sui resti dei cittadini di Gaza detenuti da Israele. Il meccanismo garantirà che i resti di tutti gli ostaggi siano completamente e in sicurezza riesumati e rilasciati. Hamas farà il massimo sforzo per adempiere a questi impegni il più presto possibile.

f. Quando Hamas rilascerà tutti gli ostaggi, Israele rilascerà parallelamente il corrispondente numero di prigionieri palestinesi secondo gli elenchi allegati.

g. Lo scambio di ostaggi e prigionieri avverrà secondo le modalità concordate tramite i mediatori e l'Icrc, senza cerimonie pubbliche né copertura mediatica.

6. Sarà costituita una task force composta da rappresentanti degli Stati Uniti, del Qatar, dell'Egitto, della Turchia e di altri Paesi concordati dalle parti, con il compito di seguire l'attuazione dell'accordo con entrambe le parti e di coordinarsi con esse.

Leggi anche
Riproduzione riservata
© Copyright Adnkronos
Tag
Vedi anche


SEGUICI SUI SOCIAL

threads whatsapp linkedin twitter youtube facebook instagram

ora in
Prima pagina
articoli
in Evidenza